Soal No. 1
Nilai dari 22 + 23 + 24 adalah....
A. 28
B. 48
C. 512
Nilai dari 22 + 23 + 24 adalah....
A. 28
B. 48
C. 512
Pembahasan
22 + 23 + 24
= (2×2) + (2×2×2) + (2×2×2×2)
= 4 + 8 + 16
= 28
Jawaban: A
Soal No. 2
Nilai dari 22 ⋅ 23 ⋅ 24 adalah....
A. 128
B. 256
C. 512
Pembahasan
22 ⋅ 23 ⋅ 24
= (2×2) × (2×2×2) × (2×2×2×2)
= 4×8×16
= 512
Jawaban: C
Bisa juga seperti ini, 22 ⋅ 23 ⋅ 24
= 2(2 + 3 + 4)
= 29
= 512
Pointers:

Soal No. 3
Nilai dari
53 + 5−3 = ....
A. 0
B. 124,992
C. 125,008
Pembahasan
53 + 5−3

Soal No. 2
Nilai dari 22 ⋅ 23 ⋅ 24 adalah....
A. 128
B. 256
C. 512
Pembahasan
22 ⋅ 23 ⋅ 24
= (2×2) × (2×2×2) × (2×2×2×2)
= 4×8×16
= 512
Jawaban: C
Bisa juga seperti ini, 22 ⋅ 23 ⋅ 24
= 2(2 + 3 + 4)
= 29
= 512
Pointers:
Soal No. 3
Nilai dari
53 + 5−3 = ....
A. 0
B. 124,992
C. 125,008
Pembahasan
53 + 5−3
Jawaban : C
Pointers:

Soal No. 4
Hasil dari 4−2 + 4−3 adalah...
A. 1/64
B. 1/32
C. 1/16
D. 5/64
(Bentuk Pangkat - UN 2013)
Pembahasan
Caranya seperti soal nomor 3:

Jawaban : C
Hasil dari 4−2 + 4−3 adalah...
A. 1/64
B. 1/32
C. 1/16
D. 5/64
(Bentuk Pangkat - UN 2013)
Pembahasan
Caranya seperti soal nomor 3:
Jawaban : C
Soal No. 5
Bentuk sederhana dari
Bentuk sederhana dari
adalah....
A. a4 b3 c2
B. a8 b9 c10
C. a12 b18 c24
Pembahasan
Jawaban : A
Pointers:

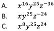
Soal No. 6
Bentuk sederhana dari

adalah….
A. a4 b 3 c2
B. a8 b9 c10
C. a12 b18 c24
Pembahasan

Bentuk sederhana dari
adalah….
A. a4 b 3 c2
B. a8 b9 c10
C. a12 b18 c24
Pembahasan
Jawaban : B
Soal No. 7
Nilai dari

adalah....

Pembahasan

Pointers:

Nilai dari
adalah....
Pembahasan
Pointers:
Soal No. 8
Nilai dari

adalah....

Pembahasan

Nilai dari
adalah....
Pembahasan
Soal No. 9
Hasil dari

adalah....
A. 8
B. 15
C. 24
Pembahasan

Jawaban: B
Hasil dari
adalah....
A. 8
B. 15
C. 24
Pembahasan
Jawaban: B
Soal No. 10
Nilai x pada persamaan berikut
Nilai x pada persamaan berikut
adalah….
A. 1
B. 2
C. 3
Pembahasan
Jawaban : B
Sumber: matematikastudycenter.com

